Файл:GlutaminRis 7.jpg
GlutaminRis_7.jpg (424 × 652 пикселя, размер файла: 34 КБ, MIME-тип: image/jpeg)
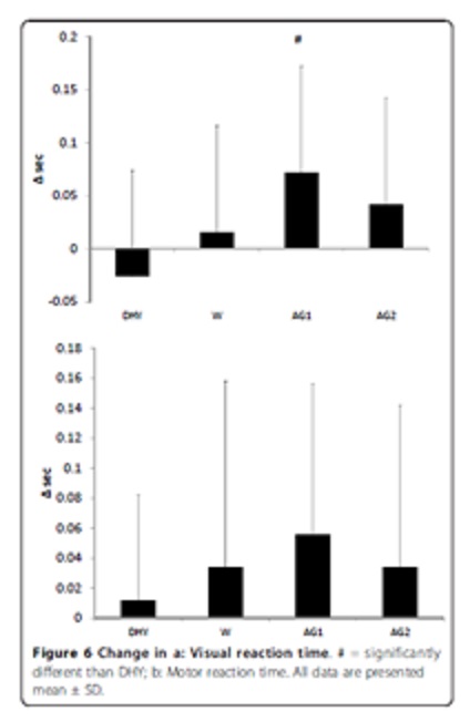
Изменение показателей времени визуальной и моторной реакции в процессе 40-минутной баскетбольной игры в четырех исследованиях: DHY – без регидратации; W – регидратация водой; AG1 – регидратация водой + 1 г АГ; AG2 – регидратация водой + АГ 2 г.
История файла
Нажмите на дату/время, чтобы просмотреть, как тогда выглядел файл.
| Дата/время | Миниатюра | Размеры | Участник | Примечание | |
|---|---|---|---|---|---|
| текущий | 17:46, 30 ноября 2016 | 424 × 652 (34 КБ) | Lukuv (обсуждение | вклад) | Изменение показателей времени визуальной и моторной реакции в процессе 40-минутной баскетбольной игры в четырех исследованиях: DHY – без р… |
- Вы не можете перезаписать этот файл.
Использование файла
Следующая 1 страница ссылается на данный файл:

